近年来,世界范围内经由性行为传播而感染艾滋病的情况愈渐严重。男男性行为者(men who have sex with men, MSM)因HIV相关危险性性行为在此群体中普遍存在,而成为艾滋病的高危人群之一。
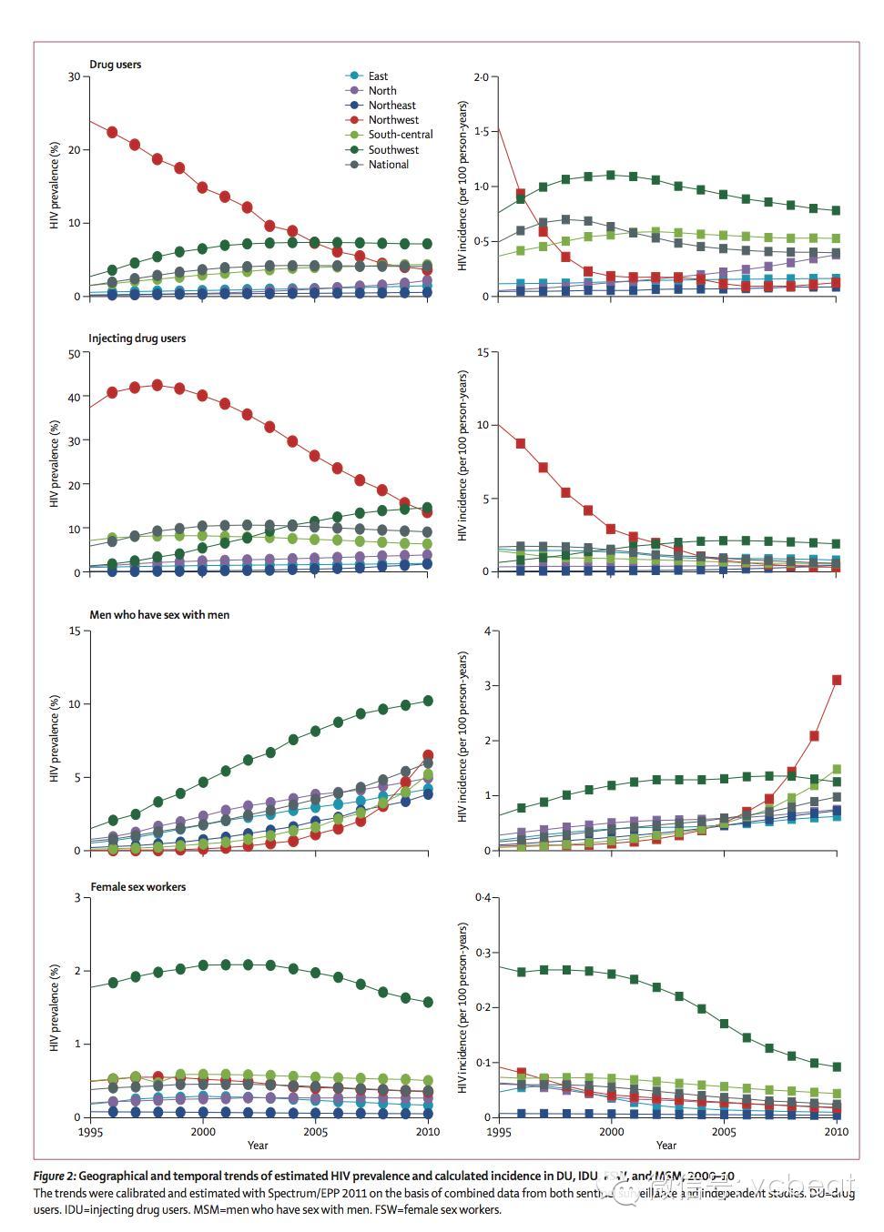
2013年发表在《柳叶刀传染病杂志》(Lancet Infect Dis)的一份系统综述显示,MSM人群HIV患病率由2000年的1.77% 上升至2010年的5.98%。其中,以西南和西北地区的患病率最高,分别为10.21%和6.49%(2010年)。值得注意的是,超过三分之二的省份中,MSM人群的HIV患病率已超过静脉吸毒者和女性性工作者(图1和图2)。因此,如何在MSM人群开展预防艾滋病的行为干预工作,是健康工作者亟需解决的重要问题之一。
因社会文化的原因,MSM人群的活动多处在隐蔽状态。在20世纪80年代,他们更多在同志浴室寻找伴侣。20世纪90年代末,计算机网络的出现和普及,让他们有了更多寻找匿名伴侣的机会。现在,随着智能手机的快速发展,手机同志app逐渐成为他们交友的主要平台。一项研究显示,中国大部分MSM(93.6%)都有智能手机,而将近一半(40.6%)使用至少1个同志app。
虽然智能手机和同志app的普及,为MSM人群结识匿名伴侣提供了更多便利,可能会增加性传播疾病(包括艾滋病)在此人群流行的风险,但是,这也为健康工作者更多接触到这类人群,并展开健康干预提供了机会。目前以该人群HIV预防干预为目的的app很少。北卡罗来纳州大学的调查显示,截止于2012年5月1日HIV/STD(性传播疾病,STD)预防和医疗的英文app有69个,其中29个仅可在iTunes下载,12个仅发布于Google Play商店;仅10个软件是针对同志人群。以STD411为例,这个软件于2010年12月上线,以促MSM人群性行为健康为目的,包括了知识、降低危险性行为、提高安全套使用和疾病检测等四个方面内容。总体而言,这些软件的用户评价强差人意,约一半的软件用户评分为3.7-5分。而且这类软件的下载和使用率非常低,仅11个软件的下载量超过1000次。现在,中南大学在国家自然基金的支持下,正在进行此类软件的开发。如何扩展潜在用户和提高用户满意度,是开发者或健康工作者需要重点考虑的问题。
另一种思路则是如何利用以拥有庞大用户群的同志社交软件,开展健康干预工作。目前国内使用最多的同志app有Blued,Jack’d,Grindr,Zank和飞赞。美国一项利用同志app软件(A4A Radar,Grindr,Jack’d和Scruff)进行的调查显示,三分之二的参与者表示愿意在app上获取HIV相关健康信息。关于国内同志app健康干预的可接受性和可行性的情况,仍需进一步调查。
综上所述,同志健康干预app还是一有待开发的板块。希望有更多的开发者加入,以更好的改善同志健康和促进艾滋病预防。
作者:牛璐,中南大学公共卫生学院博士研究生在读,本科毕业于北京协和医学院护理学院。

















