2023年9月18日,生物技术公司Anthos Therapeutics(以下简称“Anthos”)宣布针对阿贝拉昔单抗(Abelacimab)的AZALEA-TIMI 71临床2期研究达到了其主要终点。
该研究在1287名中度至高度风险的房颤患者中进行。与服用标准治疗药物利伐沙班的患者相比,服用阿贝拉昔单抗患者的大出血和临床相关非大出血的复合终点显著降低,并在疗效上表现出“压倒性的优势”,因此在数据监测委员会建议下决定提前终止该研究。研究显示,150mg的阿贝拉昔单抗能够几乎完全抑制凝血因子XI。

AZALEA-TIMI 71研究结果(图源:Anthos Therapeutics官网)
阿贝拉昔单抗是一种新型、高选择性、全人源单克隆抗体。通过结合凝血因子XI的催化结构域,将阿贝拉昔单抗锁定在不活跃的前体构象中(酶原状态,zymogen),阻止其被凝血因子XIIa或凝血酶激活。因此,阿贝拉昔单抗具有同时作用于凝血因子XI 及其活化形式因子XIa的双重活性,在降低凝血风险的同时,通过非耦合的凝血机制保护生理性凝血功能。
试验结果显示,阿贝拉昔单抗不仅具有预防血栓形成的能力,同时具备更高的安全性和耐受性。

阿贝拉昔单抗作用示意图(图源:Anthos Therapeutics官网)
目前,Anthos 已启动 AZALEA-TIMI 71 的扩展研究,该研究将允许原本分配到利伐沙班的受试者切换至阿贝拉昔单抗治疗。此外,该公司正在进行与癌症相关的血栓形成研究,并且已经进行了两项III期试验,分别为 ASTER (阿贝拉昔单抗与阿哌沙班的对照试验)和 MAGNOLIA(阿贝拉昔单抗与达肝素对照试验)。
Anthos是一家位于美国马萨诸塞州的生物制药公司,致力于为心血管疾病患者开发新一代靶向治疗药物。与其他初创企业不同的是,Anthos由黑石集团旗下的黑石生命科学公司(Blackstone Life Sciences)和诺华(Novartis)合作成立,形成了一种资金和资源的双重支持模式。
根据合作协议,黑石生命科学公司向Anthos提供了2.5亿美元的资金,并负责控制新产品的开发。诺华授权Anthos继续研发抗体疗法MAA868(即阿贝拉昔单抗前身),该疗法针对凝血因子XI和XIa,同时诺华也持有Anthos的少数股权。
在授权之前,诺华针对MAA868的临床前研究显示,接受MAA868治疗的非人灵长类动物具有持久的抗凝活性,且没有观察到任何出血迹象。在首次人体试验中,诺华的报告指出MAA868耐受性良好,其活性至少持续4周。
由于心血管疾病药物开发成本高,失败风险极大,生物技术初创企业和大型制药公司在不同阶段都面临财务挑战。黑石集团的投资模式正是基于这样一种原因,希望通过风险投资帮助解决财务约束。基于此,Anthos优化传统运营模式,将小型生物技术公司的灵活性与大型制药公司的实力相结合,将高级领导层与开发和生产本身(通过外部合作伙伴实施)相结合,以确保药物开发、生产、监管和商业化的质量。这种模式可将产品、现金流和价值创造有机地结合在一起,以满足Anthos、合作伙伴和投资者的共同需求,实现共赢。
心血管和代谢疾病依然是威胁人类健康的“头号杀手”。
血栓性疾病是心血管疾病的一部分,它涉及到血栓形成和血栓栓塞的两种病理过程,可影响动脉或静脉,导致一系列缺血性心脏病、缺血性中风、外周动脉疾病、静脉血栓栓塞等疾病。据国际血栓与止血学会公布的数据,全球每4人中就有1人死于与动脉血栓栓塞事件相关的疾病(如缺血性心脏病或中风),发病率在过去 20 年中急剧上升 。
同样,静脉血栓栓塞症(VTE)也构成了沉重的健康负担。“世界血栓日”专家委员会公布的数据显示,每年全球范围VTE的发生接近1,000万例,涵盖了发达国家及发展中国家,仅在美国和欧洲每年就夺去 80 多万人的生命。
美国国家综合癌症网络(National Comprehensive Cancer Network, NCCN)在 2021年第2 版的《癌症相关静脉血栓栓塞疾病》指南中提到,癌症患者患上VTE的风险增加了5到7倍,成为导致癌症患者死亡的第二大原因,仅次于癌症本身。
Anthos的CEO John Glasspool认为,这一疾病的死亡风险部分原因在于抗凝剂普遍使用不足、剂量不足和过早停药等,并指出“约45%患有血栓形成风险的人没有得到适当治疗,或治疗效果不太理想,这主要是因为担心出血风险。”
尽管一些临床对照研究表明,特定患者群体在使用直接口服抗凝剂(DOACs)后出血风险有所降低,但其每年2%至5%的高出血率在临床上仍不可小觑。此外,在2021年国际血栓与止血学会(ISTH)大会上公布的有关心房颤动的新数据表明,实际治疗中的大出血率几乎是临床试验中的两倍。
根本问题在于,包括DOACs在内的所有传统抗凝剂都会对生理性止血和病理性血栓的形成产生影响,这使得医生在实际治疗中的面临着艰难的抉择。患者通常身体虚弱、年事已高且可能患有多种疾病,因此每次治疗都需要仔细权衡两方面的风险:既要考虑到会致命的病理性血栓栓塞事件的潜在风险,又要考虑到药物可能引发大出血的不良影响。
因此,理想的抗凝药物应该具备双重功能,既能有效抗凝,又不干扰正常止血过程。多年来,华法林等维生素K拮抗剂(VKA)是传统可用的口服抗凝剂,但VKA自身的药代动力学和其作用特点造成该药治疗窗窄小,需高频率动态监测并存在较大潜在出血风险等弊端。
2008年获批上市的利伐沙班是相对较新的口服抗凝药,它无需定期监测凝血指标,服用频率降为1次/天,药物依从性被有效提高,但其仍然具有出血风险。《美国医学会杂志》的研究结果显示,与另一种新型口服抗凝药阿哌沙班(Eliquis)相比,利伐沙班的出血风险还更高 。
对比来看,华法林等维生素K拮抗剂(VKA)通过抑制维生素K环氧化物还原酶,最终导致凝血因子Ⅱ、Ⅶ、Ⅸ、Ⅹ的羧化作用产生障碍发挥作用;作为常规治疗药物的利伐沙班和阿哌沙班则通过直接或间接灭活凝血因子Xa及凝血酶来发挥作用。而此次提前中止临床试验的阿贝拉西单抗则是瞄准凝血因子XI,成为目前唯一一种用于预防和治疗动脉和静脉血栓栓塞的因子 XI 抑制剂。
据Anthos介绍,该药物的研发灵感来源于对血友病人的临床观察。血友病是一种出血性疾病,由血液中缺乏特定凝血因子而引起。按照缺乏因子的种类可分为A型、B型和C型,其中A型和B型分别由于缺乏凝血因子VIII和IX而引起,C型则是因为缺乏凝血因子XI。临床上发现,血友病C患者出血倾向比较轻,且患血栓栓塞的风险比一般人低。
因此,研究人员猜想凝血因子XI可能在血栓形成中起关键作用,但对止血作用影响较小,人工抑制凝血因子XI有望成为一个理想的抗凝治疗方法。目前针对因子XI的药物有抗体药物、小分子药物、反义寡核苷酸等,阿贝拉西单抗是抗体药物中的一种。
此外,阿贝拉昔单抗仅需每月1次,出血风险减少;同时,该抗体的体内代谢途径减轻了对肝脏、肾脏的负担,对患有相关病症的患者更加友好。

传统抗凝药的作用效果示意图(图源:Anthos Therapeutics官网)

因子XI 作用效果示意图(图源:Anthos Therapeutics官网)
2022年7月11日,FDA授予阿贝拉西单抗治疗癌症相关血栓(CAT)的快速通道认证。此前,Anthos已经完成了两项III期临床试验,分别为MAGNOLIA(阿贝拉昔单抗与达肝素对照试验)和ASTER (阿贝拉昔单抗与阿哌沙班的对照试验)
MAGNOLIA试验的研究对象是不建议使用 DOAC 治疗的胃肠道 (GI) / 泌尿生殖系统 (GU) 癌症患者。在 MAGNOLIA 试验中,第一组患者第一天接受150 mg阿贝拉单抗的静脉注射,此后每月皮下注射,最长持续 6 个月;第二组患者每天皮下注射达肝素,第一个月为 200 IU/kg/天,之后为 150 IU/kg/天,最长持续 6 个月,以评估阿贝拉单抗对癌症相关VTE患者的VTE复发和出血的影响。结果表明,阿贝拉单抗能够降低GI/GU癌症患者的 VTE 复发和出血的风险。
在ASTER试验中, Anthos主要比较阿贝拉西单抗与阿哌沙班对那些建议使用DOAC治疗的癌症相关VTE患者的VTE复发和出血情况。第一组患者第1天静脉注射阿贝拉西单抗 150 mg,此后每月皮下注射,疗程长达6个月;第二组患者口服10mg阿哌沙班,前7天每天服用两次,之后每日服用一次,服用时间为6个月。
同年9月,Anthos的AZALEA-TIMI 71临床研究发现,阿贝拉昔单抗靶向因子XI的活性结构域,对因子XI及其活化形式因子XIa具有双重抑制活性,并具有高选择性和高亲和力。因此,FDA批准阿贝拉单抗进入快速通道,用于心房颤动(AF)患者预防中风和全身性栓塞的研究。这是Anthos在不到两个月的时间内获得的第二项快速通道认证。
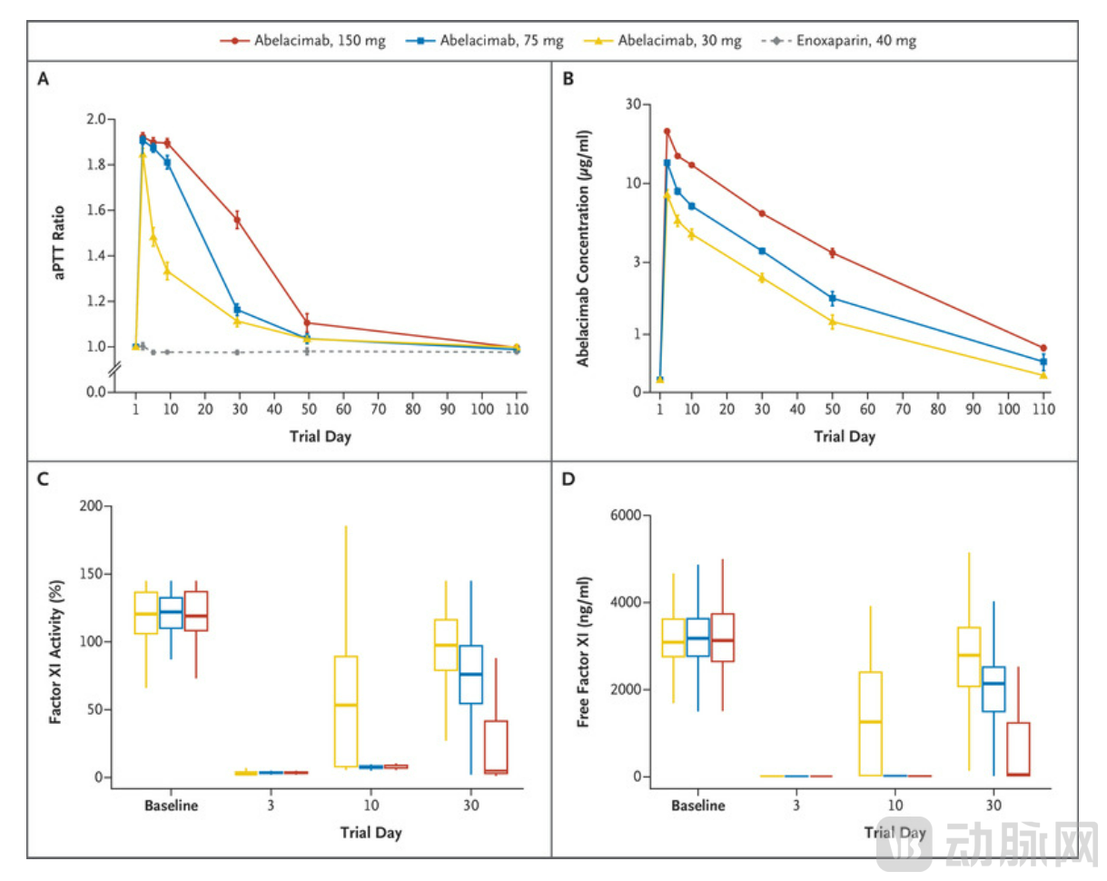
早在2021年的一项II期临床试验中,Anthos就评估了三种剂量的阿贝拉昔单抗(30mg、75mg或150mg)与依诺肝素(enoxaparin)在预防全膝关节置换术后患者出现血栓的疗效和安全性。
这次II期临床试验共招募412名接受全膝关节置换手术的患者,按照1:1:1:1的比例分配进入不同的阿贝拉昔单抗剂量组或依诺肝素组。他们将被要求在术后选择进行一次性静脉注射阿贝拉西单抗(30mg、75mg或150mg)或每天皮下注射40mg依诺肝素。
发表在《新英格兰医学杂志》上的试验结果显示,阿贝拉昔单抗在剂量上表现出增加活化部分凝血活酶时间(APTT,反映内源凝血途径的一个重要凝血功能检查指标)的效果,而依诺肝素则未显示出这种增加效果。同时,因子XI的活性和游离因子XI的水平与阿贝拉昔单抗的血浆浓度呈负相关。
在安全性指标方面,阿贝拉昔单抗可有效降低术后静脉血栓栓塞发生率。接受阿贝拉西单抗30mg的受试组里,13%的患者(102例中的13例)出现了静脉血栓栓塞,75mg组为5%,150mg组为4%,而依诺肝素组为22%。

阿贝拉昔单抗和依诺肝素对照试验结果(图源:《新英格兰医学杂志》)
如果阿贝拉昔单抗的后续研究数据保持良好,利伐沙班和阿哌沙班这两款市值巨大的药物都将迎来强大的竞争对手。


















